| 喀斯特地质资源与环境教育部重点实验室在蔬菜富硒生物强化方面取得新进展 - 贵州大学网络与信息化管理中心
Sci Hortic | 喀斯特地质资源与环境教育部重点实验室在蔬菜富硒生物强化方面取得新进展
硒是维持人体健康必需的一种微量元素,全世界有42个国家和地区缺硒,我国有72%的地区处于缺硒和低硒状态,国民硒摄入量远低于健康成年人日均55 μg的参考值,因此,提高我国居民的日均硒摄入对保障国民的健康十分重要。食用富含硒的功能农产品是目前人们较为有效的硒摄入方式。利用根际促生菌(PGPR)促进作物对硒的吸收,是近年来生物强化的新方向。开展外源硒和PGPR浓度对植物生长和硒生物积累的协同效应研究,对于作物富硒生物强化具有重要的理论指导意义。
1. 硒与PGPR协同作用会影响小白菜生长
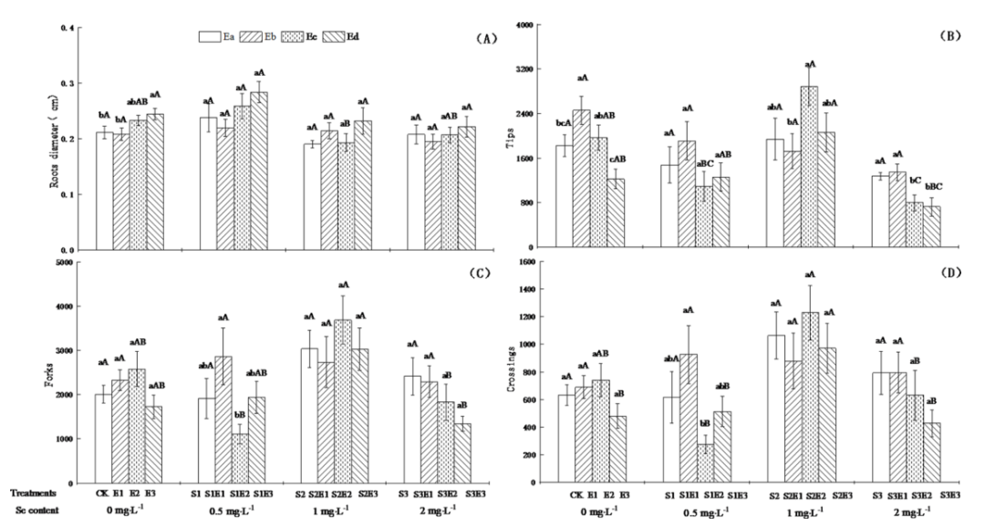
以速生小白菜为研究对象,开展其在EG16菌剂(一种PGPR)接种和外源硒添加等两因素4水平下的水培实验,小白菜在MS培养基生长21天后收获。结果表明,小白菜生长促进更多受到来自于PGPR而非硒的影响。二者协同作用时,较低浓度硒与PGPR组合(1 mg Se L−1 和7.65×107 CFU mL−1 EG16)能在一定程度上提高小白菜生物量,促进其根系生长,使得根尖数、根分支数等增多。与之相反,较高浓度硒与PGPR组合(2 mg Se L−1 和11.3×107 CFU mL−1 EG16)则会抑制小白菜生长。

与植物生长类似,硒与PGPR单独或协同作用均会对小白菜抗氧化酶活性产生影响。在大多数情况下,抗氧化酶的活性随着PGPR浓度的升高而增大。在硒为0.5 mg L−1,外源硒对SOD和CAT的影响大于PGPR,随着硒浓度的升高,硒与PGPR协同作用对SOD和CAT的影响大于硒或PGPR单独作用。尤其是1 mg Se L−1和7.65×107 CFU mL−1 EG16组合下,小白菜抗氧化酶的活性更强。

3. 硒与PGPR协同作用会影响小白菜硒含量和形态分布
小白菜地上部和地下部总硒含量会随着外源硒浓度或PGPR施用剂量的升高而增加,其中后者对小白菜总硒含量升高的影响更显著。本研究虽然添加的是无机硒(SeO32-),但小白菜可食部位有机硒在总硒中的比例均超过80%,不过,随着硒浓度升高,小白菜可食部位无机硒比例也是逐渐升高的,这说明小白菜转化无机硒为有机硒的能力是有限的。可喜的是,PGPR的施用在某种程度上促进了小白菜体内无机硒向有机硒的转化,尤其是当硒为1 mg L−1时,随着PGPR施用剂量升高,这种转化效率可能更高。此时,小白菜可食部位有机硒比例几乎达到99%,其中具有抗癌功效的有机硒(SeMet和SeMcCys)的比例超过85%,且有更多的SeMet转化为哺乳动物含硒蛋白SeMcCys,更易被人体吸收利用。本研究为PGPR在富硒蔬菜生产提供了数据支撑,也为富硒微生物强化提供了理论基础。

喀斯特地质资源与环境教育部重点实验室袁永强教授为该论文第一和通讯作者,中山大学王诗忠教授与华南农业大学仇荣亮教授,苏州硒谷科技有限公司的张泽洲博士和恩施土家苗族自治州农科院的明佳佳博士等也参与了工作。该项目得到国家自然科学基金(4173073)、贵州省科技支撑计划项目(黔科合支撑[2022]一般 244)、贵州大学自然科学专项科研基金项目(贵特合(2022)22号)和恩施土家苗族自治州科技局科技项目(D20180031)的资助。