近日,贵州大学贵州省森林资源与环境研究中心丁贵杰教授团队以中国亚热带重要的乡土树种马尾松为材料,采用连续和梯度两种高温干旱胁迫的方法,通过转录组、代谢组和基因功能验证等手段,阐明了基本的代谢途径,鉴定了核心代谢物和调控基因。相关研究成果在国际权威期刊《经济作物与产品》(Industrial crops and products)上发表。

当前,全球工业化排放大量的温室气体,导致地球表面温度升高,加剧了高温干旱对林木的负面影响。研究发现,全球范围内高温干旱导致林木大量死亡,已成为制约森林生产力和质量效益提升的瓶颈。因此,为提高对未来森林生态系统生存和发展趋势的预测精度,深入探究树木在高温干旱胁迫下的响应机制尤为迫切。

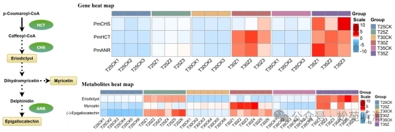
该研究通过采用两种不同的胁迫模式,构建了多组对比实验以分析高温干旱胁迫对马尾松的影响,并从多组学角度系统地阐明了马尾松对高温和干旱联合胁迫响应的关键代谢途径及调控基因。
研究结果显示,梯度高温干旱胁迫对马尾松幼苗的影响比连续高温干旱胁迫更为显著,黄酮类化合物的生物合成是应对共胁迫的主要代谢途径。这些发现不仅为今后的靶向遗传改良研究提供了理论基础,也为马尾松种质资源的开发与利用提供了重要的科学依据。(来源:天眼客户端)
编辑:张蝉
责编:李旭锋
编审:丁龙








